Новости металлургии 

Metaldaily.ru/Новости - 06.08.2012

Листовая сталь в Украине подешевела.

06.08.2012 - 10:38
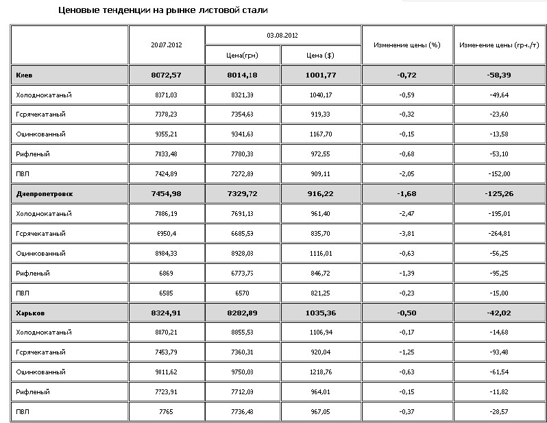
С 20 июля по 3 августа 2012 г. прайсовые цены на листовую сталь в Киеве, Днепропетровске и Харькове понизились. Об этом свидетельствуют данные index.ugmk.info.

За отчетный период индекс по Киеву упал на 0,72% или на 58,39 грн./т. В частности, цены понизили компании "УГМК" (Киев), "Метинвест СМЦ" (Киев), "МД Групп" (Киев), "Металл Холдинг Киев".

Кроме того, индекс по Днепропетровску упал на 1,68% или на 125,26 грн./т. В регионе стоимость листовой стали понизили компании "Метинвест СМЦ" (Днепропетровск) и "Металлобазы Комэкс".

Также индекс по Харькову упал на 0,50% или на 42,02 грн./т. На динамику повлияла ценовая политика "УГМК" (Харьков).



Для анализа и ценового среза взяты оптовые прайсовые цены киевских («Альянс», «МД Групп», «Метинвест СМЦ», «Металл-Холдинг», «АО «УГМК» (Киевский филиал), «Юникон Трейд»), днепропетровских («АВ Металл Групп», «Металлобазы Комэкс», «Метинвест СМЦ (Днепропетровск)», «АО «УГМК» (Днепропетровский филиал)», «Юникон»), и харьковских металлотрейдеров («Металлобазы Комэкс (Харьков)», «Металл Холдинг Харьков», «РТК Трейд», «АО «УГМК» (Харьковский филиал)», «Харьковметалл – 1», «Харьковметалл – 2»). Цены указаны в гривнах с учетом НДС. Электронные прайсы вышеуказанных компаний можно загрузить по адресу price.ugmk.info. -- UGMK.INFO (Украина)

Новости по этой теме

В Новости

Всего новостей  180119

ГОД:
МЕСЯЦ:
Январь Февраль Март Апрель Май Июнь Июль Август Сентябрь Октябрь Ноябрь Декабрь
Пн
Вт
Ср
Чт
Пт
Сб
Вс
4
5
11
12
15
16
17
18
19
20
21
22
23
24
25
26
27
28
29
30

Подписка на рассылку

Ежедневные новости металлургии в Вашем почтовом ящике
RSS

Информер

Ежедневно обновляющиеся заголовки 10 последних новостей металлургии на вашем сайте

все информеры >>